Узнаем, что такое логарифмические уравнения. На наглядных примерах рассмотрим, как решать разные логарифмические уравнения от самых простых до более сложных.
Что такое логарифм и логарифмические уравнения
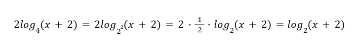
Из школьного курса математики известно, что логарифм — это показатель степени, в которую нужно возвести основание логарифма, чтобы получилось число, логарифм которого берется. Так, например, логарифм числа 16 по основанию 4 равен 2, потому что 4 во второй степени дает 16. Записывается это так:

Подробнее о логарифмах и их свойствах можно прочитать в этой статье. Уравнение — это равенство, содержащее одно или несколько неизвестных и нужно найти такие значения неизвестных, чтобы это равенство было верным. Вот пример простейшего уравнения первой степени:

Неизвестное здесь равно 5, так как только при этом значении у нас получится верное числовое равенство:

Еще есть уравнения второй, третьей и более высоких степеней. О том как их решать можно прочитать в этой нашей публикации. Имеются также иррациональные уравнения. В этих уравнениях неизвестные находятся под знаком корня. Существуют и другие виды уравнений, но в этой статье нас будут интересовать только лишь логарифмические уравнения. Логарифмическое уравнение — это уравнение, в котором неизвестные содержатся под знаком логарифма или в его основании. Пример самого простого логарифмического уравнения:

Или вот пример чуть посложнее:

Далее разберемся, как решать такие уравнения.
Простейшие логарифмические уравнения
Решим уравнение из прошлого раздела:

Исходя из определения логарифма, чтобы получить неизвестное нужно основание логарифма возвести в куб. Записываем:

Пример немного посложнее:

Размышляем так же, как и в предыдущем примере:

И далее легко получаем корень:

Решим еще одно уравнение:

Здесь у нас неизвестное находится в основании логарифма. Так как число 3 является показателем степени, то чтобы получить основание нужно извлечь кубический корень из 1000:

В итоге имеем простейшее уравнение:

Из которого легко находим неизвестное:

Уравнения с одинаковыми основаниями логарифмов
Такие уравнения имеют следующий общий вид:

Где f(x) и g(x) какие-то выражения. Так как здесь мы имеем равенство двух логарифмов с одним и тем же основанием, то можно отбросить логарифмы и решить следующее получившееся уравнение:

Но при этом следует помнить, что значения выражений f(x) и g(x) должны быть больше нуля. Решим такое уравнение:

Видим, что у логарифмов в правой и левой части одинаковые основания, значит можно от этих логарифмов избавиться. В итоге получим:

Вот и все решение! Возьмем пример чуть посложнее из вступительного раздела:

Как видно, это уравнение сводится к простому линейному:

Решаем его:

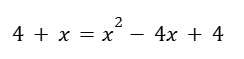
Но не всегда бывает все так просто. Решим следующее уравнение:

Отбрасываем логарифмы и приводим подобные слагаемые:

Вроде все прекрасно. Единственный корень нашли верно, но не спешим радоваться! В прошлом примере у нас в правой части уравнения не было неизвестного, а было просто положительное число, поэтому не возникло никаких сомнений насчет найденного корня. А здесь мы имеем неизвестные в обеих частях. Поэтому надо произвести проверку найденного корня. Подставляем его в уравнение:

То есть исходное равенство будет иметь такой вид:

Но это равенство не имеет смысла, так как логарифмов отрицательных чисел не существует. Вот из-за таких возможных случаев сначала полезно определить область допустимых значений неизвестного. В нашем случае эта область определяется такой системой неравенств:

После несложных преобразований получим уже такую систему:

Из которой нетрудно получить следующую:

Видим, что неизвестное должно быть больше числа \(\frac{4}{3}\), чтобы значения логарифмируемых выражений (аргументов) были положительными. У нас же неизвестное получилось равным -5 и, соответственно, значения аргументов получились отрицательными. А это значит, что исходное уравнение не имеет корней.
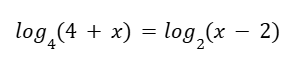
Уравнения с разными основаниями логарифмов
Решим уравнение:

В этом уравнении логарифмы идут с разными основаниями, поэтому просто так их отбросить не получится. Чтобы избавиться от логарифмов сначала необходимо привести их к одному основанию. В нашем случае можно выбрать основание 2. В левой части уравнения у нас уже есть логарифм с таким основанием, но как превратить логарифм по основанию 4 из правой части в такой же логарифм по основанию 2? Воспользуемся одним из свойств логарифмов. Здесь подойдет следующее свойство:

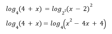
То есть, если возвести в одну и ту же степень основание и аргумент логарифма, то логарифм не изменится. Чтобы привести логарифм из правой части к основанию 2, надо возвести его основание и аргумент в степень \(\frac{1}{2}\), или, что то же самое, извлечь из них квадратный корень. В итоге получим уравнение:

Теперь можно смело избавиться от логарифмов и сразу получить готовый корень:

Но также для решения этого уравнения можно привести левый логарифм к основанию 4. Для этого возведем в квадрат его основание и аргумент. Получим уже такое уравнение:

После освобождения от логарифмов имеем простейшее квадратное уравнение:

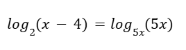
Это уравнение имеет 2 корня: 4 и -4. Так как аргументы логарифмов должны быть больше нуля, то подходит только положительный корень. Теперь разберем пример посложнее. Решим уравнение:

Приведем правый логарифм к основанию 4. Для этого возведем в квадрат его основание и аргумент. Так как в качестве аргумента у нас здесь двучлен первой степени, то воспользуемся формулой квадрата разности:

Освобождаемся от логарифмов:

Переносим все в одну часть и приводим подобные члены:

Левая часть получившегося уравнения легко разлагается на множители:

Известно, что произведение равно нулю тогда и только тогда, когда хотя бы один из сомножителей равен нулю. Таким образом данное уравнение имеет 2 корня: 0 и 5. Теперь посмотрим на область допустимых значений неизвестного, которая определяется следующей системой неравенств:

В итоге имеем:

Значит, неизвестное должно быть больше числа 2. Следовательно, подходит только корень 5.
Уравнения с неизвестным в основании логарифма
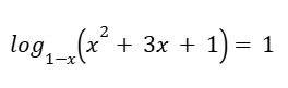
Решим уравнение:

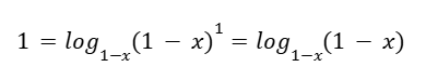
Видим, что здесь неизвестная переменная находится не только в аргументе, но и в основании. Не стоит паниковать! Применим здесь тот же самый подход, что и в прошлых случаях, то есть сделаем в обеих частях уравнения логарифмы с одним и тем же основанием. В правой части у нас единица. Представим ее в виде логарифма по основанию 1-x. Как это сделать? Чтобы такое провернуть нам понадобится вот эта формула:

Применим ее для нашей единички:

И таким образом уравнение примет следующий вид:

Откидываем логарифмы и получаем:

Переносим все из правой части в левую и приводим подобные члены:

Выносим неизвестное за скобку:

У этого уравнения два корня: 0 и -4. Но не забываем про область допустимых значений! Аргумент и основание логарифма должны быть больше нуля. Основание логарифма еще и не должно быть равно единице. Корень 0 обращает основание в единицу, значит он не подходит.
А вот корень -4 удовлетворяет всем условиям (проверьте!). Получается, что у данного уравнения только один корень -4. Рассмотрим еще вот такое уравнение:

Здесь тоже имеются неизвестные в основании логарифмов в правой части уравнения. Но правая часть уравнения представляет собой сумму логарифмов с одинаковыми основаниями, а эту сумму можно представить, как логарифм произведения аргументов с тем же основанием. Для этого используем следующую формулу:

В результате получим уже такое уравнение:

Правая часть уравнения равна единице, поэтому наше уравнение примет такой вид:

Чтобы избавиться от логарифма мы можем возвести основание 2 в степень 1 и получить аргумент:

То есть придем к такому уравнению:

Но к такому же результату мы придем, если представим единицу в виде логарифма с основанием 2:

Отбрасываем логарифмы и получаем то же самое уравнение:

Находим неизвестное:

Область допустимых значений неизвестного определяется следующими неравенствами:

После несложных преобразований имеем:

То есть корень должен быть больше числа 4. У нас получилось число 6, а значит это и есть корень исходного уравнения.
Уравнения, решаемые заменой неизвестных
Пусть нам надо решить такое уравнение:

Если внимательно присмотреться к уравнению, то можно заметить, что логарифмы в нем совершенно одинаковые, но находятся в разных степенях. Поэтому можно произвести следующую замену:

После замены наше уравнение примет такой вид:

Видим, что это обычное приведенное квадратное уравнение. Решаем его через дискриминант:

Получили два корня, которые теперь подставляем в формулу замены. В итоге имеем 2 простеньких логарифмических уравнения:

Для первого уравнения корень равен 8, так как 2 в кубе дает 8. А для второго уравнения корень равен 4, потому что 2 в квадрате — это 4. Так как область допустимых значений — все положительные числа (x>0), то оба корня идеально подходят нашему уравнению. Решим еще одно уравнение:

Здесь тоже можно сделать замену, только уже такую:

После замены снова получаем квадратное уравнение:

Решаем через дискриминант:

Подставляем найденные корни в формулу замены и получаем 2 уравнения:

Извлечем квадратные корни из обеих частей уравнений, тем самым понизив их степень. Получим уже четыре уравнения:

И откуда столько? А все из-за того, что то же число 9 получается от возведения в квадрат и числа 3 и -3. То же самое и с единицей. Решим эти простейшие логарифмические уравнения:

Область допустимых значений неизвестных, как и в прошлом примере, определяется неравенством:

Все четыре числа удовлетворяют этому условию и значит являются корнями исходного уравнения.
Более сложный пример уравнения
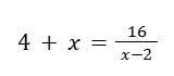
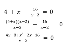
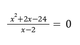
Решим следующее уравнение:

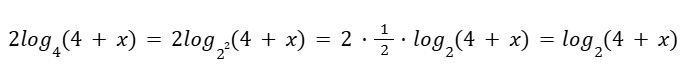
Как видим, здесь все немного сложнее: надо избавиться от коэффициента 2 в левой части и от слагаемого 4 в правой. Да еще и логарифмы с разными основаниями! Сначала попробуем привести логарифмы к одинаковым основаниям и одновременно избавиться от коэффициента. С этим нам поможет формула вынесения степени из основания логарифма:

Применим эту формулу к левой части уравнения:

И теперь наше уравнение выглядит так:

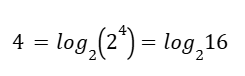
Осталось преобразовать правую часть. Представим число 4 в виде логарифма с основанием 2. Используем для этого уже известную нам формулу:

В результате получим:

После этого уравнение будет иметь следующий вид:

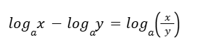
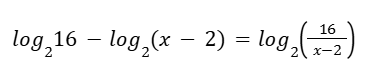
Теперь надо что-то сделать с разностью логарифмов. Мы уже превращали сумму логарифмов в произведение в одном из прошлых примеров. Здесь же превратим разность в частное при помощи этой формулы:

Получим:

После всех этих преобразований уравнение примет такой вид:

Можно смело отбрасывать логарифмы:

Перекидываем дробь в левую часть и приводим все к общему знаменателю:

Приводим подобные слагаемые в числителе и в итоге получаем следующее:

Как известно, дробь равна нулю тогда, когда ее числитель равен нулю. Иными словами, нам надо приравнять числитель к нулю и решить получившееся квадратное уравнение:

Решаем через дискриминант:

Получили 2 корня, но, как и всегда, не забываем про область допустимых значений неизвестного. Для нашего уравнения эта область определяется парой неравенств:

Откуда имеем:

То есть корень уравнения должен быть больше 2. Таким образом выходит, что уравнение имеет один корень, который равен 4.
Задание для самостоятельного выполнения
Решите уравнение:

Решение:
Здесь мы также как и в прошлом примере можем одновременно избавиться от коэффициента и привести логарифмы к одному основанию:

Получаем уравнение:

На этом этапе можно применить формулу суммы логарифмов и преобразовать эту сумму в произведение аргументов:

Запишем тройку в виде логарифма по основанию 2:

Теперь уравнение выглядит так:

Освобождаемся от логарифмов:

Переносим 8 в левую часть с переменой знака и получаем простое квадратное уравнение:

Решаем, как обычно, через дискриминант:

Получили 2 корня. Область допустимых значений определяют вот эти два неравенства:

Или:

Другими словами, корень должен быть больше нуля. Число -4 не подходит, а вот 2 как раз и является корнем уравнения.
